ngµç×ÓÓÎÏ·

05

¿ÆÑÐÏ£Íû

ÕÅÐãÀ¼ÍŶÓÕ¹ÏÖÔ­·¢ÐÔ±Õ½ÇÐÍÇà¹âÑÛ·¢²¡·çÏÕÆÀ¼ÛÖ¸±ê

¸å¼þȪԴ£º£º£ºÖÐɽÑÛ¿ÆÖÐÐÄ ±à¼­£º£º£ºÀîͯÖÛ¡¢¡¢¡¢Íõ¶¬Ã· ÉóºË£º£º£ºÖª×ã ÔĶÁÁ¿£º£º£º

ngµç×ÓÓÎÏ·ÐÂÎÅÍøÑ¶£¨Í¨Ñ¶Ô±ÌÆÑÞÀö£©10ÔÂ27ÈÕ£¬£¬ngµç×ÓÓÎÏ·ÖÐɽÑÛ¿ÆÖÐÐÄÕÅÐãÀ¼½ÌÊÚÍŶÓÔÚ¹ú¼ÊÑÛ¿ÆÅÅÃûµÚÒ»µÄÆÚ¿¯OphthalmologyÉϽÒÏþ³¤ÎÄÂÛÖø¡°Assessment of Iris Trabecular Contact in Eyes with Gonioscopic Angle-Closure¡±£¬£¬Õ¹Ê¾ÁË»ùÓÚÐÂÐÍɨƵԴǰ½ÚOCT £¨SS-OCT£©¶ÔÔ­·¢ÐÔ±Õ½ÇÐÍÇà¹âÑÛ£¨PACG£©µÄ·¿½Ç½á¹¹¾ÙÐÐϸÄåÆÀ¼Û£¬£¬ÆÊÎöÁËÌØÕ÷ÐÔÆÊ½âѧָ±êITC¾ß±¸ÓÅÁ¼µÄPACGÕï¶ÏºÍ¼²²¡·çÏÕÆÀ¹ÀЧÄÜ¡£¡£ÕâÊǸÃÍŶÓ×Ô2021Äê8ÔÂÖÁ½ñÔÚOphthalmologyÔÓÖ¾ÉϽÒÏþµÄµÚ4ƪԭ´´³¤ÎÄÂÛÖø¡£¡£

ÕâÊÇÕÅÐãÀ¼½ÌÊÚÍŶӼÓÈëµÄÒ»Ïî¹ú¼Ê¶àÖÐÐÄÁÙ´²Ñо¿£¬£¬Ñо¿µ¥Î»À´×ÔÖйú¡¢¡¢¡¢ÃÀ¹ú¡¢¡¢¡¢ÈÕ±¾ºÍÐÂ¼ÓÆÂ¡£¡£ÓÉÏã¸Û´óѧChristopher Kai-shun Leung½ÌÊÚÓÚ2017Äêǣͷ£¬£¬×éÖ¯ÖÐɽÑÛ¿ÆÖÐÐÄÕÅÐãÀ¼½ÌÊÚ¡¢¡¢¡¢ÃÀ¹ú¼ÓÖÝ´óѧ¾É½ðɽ·ÖУShan Lin½ÌÊÚ¡¢¡¢¡¢ÈÕ±¾¶«¾©´óѧMakoto Aihara½ÌÊÚºÍÐÂ¼ÓÆÂ¹úÁ¢ÑÛ¿ÆÖÐÐÄTin Aung½ÌÊÚ£¬£¬Ð­Í¬¸÷×ÔÍŶӣ¬£¬ÀúʱÈýÄêÍê³É¡£¡£ÕÅÐãÀ¼½ÌÊÚÍŶÓÔÚÖÐɽÑÛ¿ÆÖÐÐÄÁÙ´²Ñо¿ÖÐÐÄÆ½Ì¨Ö§³ÖÏ£¬£¬Èë×éÁË×î´ó×ڵĶàÈËÖÖ¡¢¡¢¡¢¶à¼²²¡·ÖÆÚµÄPACGÑо¿Êý¾Ý£¬£¬ÔÚ´Ë¿ÎÌâÖÐ×ö³öÁËÖ÷ҪТ˳¡£¡£

ƾ֤¹ú¼Ê·ÖÀ࣬£¬Ô­·¢ÐÔ±Õ½ÇÐÍÇà¹âÑÛ¿ÉÆ¾Ö¤¼²²¡ÑÏÖØ³Ì¶È·ÖΪ¿ÉÒÉ·¿½Ç¹Ø±Õ£¨PACS£©¡¢¡¢¡¢Ô­·¢ÐÔ·¿½Ç¹Ø±Õ£¨PAC£©¼°Ô­·¢ÐÔ±Õ½ÇÐÍÇà¹âÑÛ£¨PACG£©¡£¡£ÈýÕß¿Éͳ³ÆÎªÔ­·¢ÐÔ·¿½Ç¹Ø±Õ¼²²¡£¡£¨PACD£©¡£¡£

PACD¶Ô»¼ÕßÊÓ¹¦Ð§ËðÉ˼«´ó¡£¡£ËäÈ»PACD·¢²¡ÈËÊýԼΪԭ·¢ÐÔ¿ª½ÇÐÍÇà¹âÑÛ£¨POAG£©µÄÒ»°ë£¬£¬µ«ÆäÖÂäÂÊÊǺóÕßµÄÊý±¶¡£¡£ÔçÆÚɸ²é¡¢¡¢¡¢Õï¶Ï½ø¶ø¸ÉÔ¤¶ÔïÔÌ­PACDÏà¹ØÃ¤ÓÈΪÖ÷Òª¡£¡£ÏÖÔÚPACDÕï¶ÏµÄ½ð±ê׼Ϊ·¿½Ç¾µ¼ì²é£¬£¬ÁÙ´²ÉÏ·¿½Ç¹Ø±Õ±»½ç˵Ϊ·¿½Ç180¡ã¹æÄ£²»¿É¼ûºó²¿Ð¡ÁºÍø£¨¹¦Ð§Ð¡ÁºÍø£©¡£¡£º£º£ºçĤ-СÁºÍø½Ó´¥£¨iris-trabecular contact, ITC£©ÊÇPACDµÄÌØÕ÷ÐÔÆÊ½âѧ¸Ä±äÖ¸±ê¡£¡£ÓÐITCµÄÑÛ¾¦±¬·¢ºçĤÖܱßÕ³Á¬¼°¸ßÑÛѹµÄ·çÏÕ¸ü¸ß¡£¡£µ«ÔÚ·¿½Ç¾µÏÂ׼ȷ·Ö±æITCºÜÄÑÌ⣬£¬±£´æÖî¶à×ÌÈÅÒòËØ£¬£¬ºÃ±ÈÁÙ´²É϶ÔÖܱߺçĤºÍСÁºÍøÖ®¼äµÄÌùºÏ¶ÈµÄÅжÏÊÇÖ÷¹ÛµÄ£¬£¬²»¾­ÒâµÄ½ÇĤѹ¼£º£º£ºÍ²»¿É×èÖ¹µÄÕÕÃ÷»áÓ°ÏìITCµÄÊӲ졣¡£Ç°½ÚOCTÄܹ»ÔÚÆáºÚÇéÐÎÖжÔǰ·¿½Ç¾ÙÐгÉÏñ£¬£¬±È·¿½Ç¾µ³ÊÏÖ¸ü׼ȷµÄITCÇøÓò¡£¡£È»¶ø£¬£¬ÏÖÔÚÉÐδÓÐÑо¿ÏµÍ³ÑéÖ¤»ùÓÚǰ½ÚOCTͼÏñµÄITCÆÊÎöÔÚPACDÕï¶ÏÖеÄЧÄÜ£¬£¬ÇÒITC¹æÄ£ÊÇ·ñÓëPAC/PACGµÄ·çÏÕÓйØÉÐδȷÈÏ¡£¡£

ÔÚ±¾Ñо¿ÖУ¬£¬Ñо¿ÍŶÓÓ¦ÓÃɨƵԴǰ½ÚOCT£¨SS-OCT£©¶Ôǰ·¿½Ç¾ÙÐÐ360¡ã³ÉÏñ£¬£¬ÒÔÕý³£ÑÛ×÷Ϊ±ÈÕÕ£¬£¬½¨ÉèPACD»¼ÕßµÄITC²Î¿¼Êý¾Ý¿â£¬£¬ÒÔÈ·¶¨PACD»¼ÑÛµÄITC¹æÄ££¬£¬²¢Ñо¿ÆäÓëPAC/PACGµÄ¹ØÏµ¡£¡£

Ñо¿·ÖΪÁ½¸ö²¿·Ö¡£¡£µÚÒ»²¿·Ö¹²ÄÉÈë394¸öÕý³£ÑÛÒԵóöPACDÕï¶ÏµÄãÐÖµ£¬£¬¼´·¿½Ç¿ª·Å¾àÀëAOD500/СÁºÍøºçĤ¿Õ¼äÃæ»ýTISA500µÄµÚ5»òµÚ10°Ù·Ö룬£¬²¢ÑéÖ¤ÒÔÉÏãÐÖµ¼°ITC¹æÄ£¾Þϸ¶ÔPACDµÄÕï¶ÏЧÄÜ¡£¡£µÚ¶þ²¿·Ö¹²ÄÉÈë119Ãû±ÈÕÕºÍ170ÃûPACD»¼Õߣ¨94ÃûPACS»¼Õߣ¬£¬76ÃûPAC/PACG»¼Õߣ©£¬£¬ÒÔ̽Ë÷ITC500£¨½ç˵ΪAOD500 = 0mm»òTISA500 = 0mm2£©¹æÄ£¾ÞϸÓëPAC/PACGÖ®¼äµÄ¹ØÏµ¡£¡£Ã¿¸öÊÜÊÔÕßËæ»úѡȡһֻÑÛ¾¦¾ÙÐÐǰ½ÚOCT³ÉÏñ¡£¡£

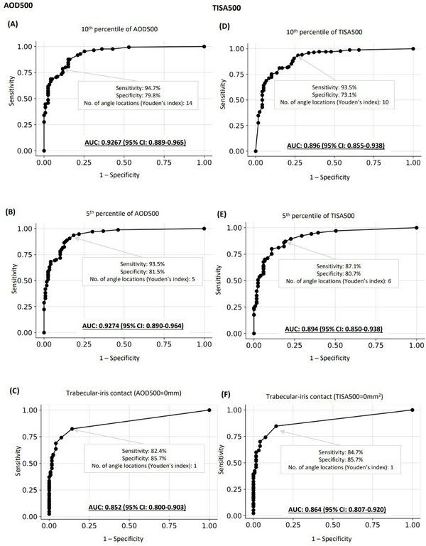
Ñо¿Ð§¹ûÏÔʾAOD500»òTISA500±ÈITC500¾ßÓиü¸ßµÄPACDÕï¶ÏЧÄÜ£¨Õï¶Ï¿ª½Ç»ò±Õ½Ç£©£¬£¬Ç°ÕßµÄAUC±ÈºóÕ߯½¾ù¸ß0.04-0.06£¨AUC£º£º£º0.895-0.922 vs. 0.852-0.864£¬£¬Í¼1£©¡£¡£



3F36FB29652AA076D5A994EA0ED_21C30AE0_1279B

ͼ1 AOD500¡¢¡¢¡¢TISA500¼°ITC500¶ÔPACDÕï¶ÏЧÄܽÏÁ¿


µÚ¶þ²¿·ÖÑо¿Ö÷Ҫ̽Ë÷ITCÊÇ·ñ¿ÉÓÃÓÚPACD¼²²¡·Ö¼¶¡£¡£ÔÚ170Ö»PAC/PACGÑÛÖУ¬£¬½ÏСµÄÒ»²¿·Ö£¬£¬Ô¼15.3%-17.6%δ·¢Ã÷ITC¡£¡£31.8%µÄ»¼ÑÛAOD500=0mm¹æÄ£´óÓÚ180¡ã£¬£¬35.3%µÄ»¼ÑÛTISA500=0mm2¹æÄ£´óÓÚ180¡ã¡£¡£Âß¼­»Ø¹éÏÔʾ£¬£¬ÓÉǰ½ÚOCTÈ·¶¨µÄITC500¹æÄ£Ó뻼PAC/PACGµÄ¼¸ÂÊÓйØ£»ITC500¹æÄ£Ã¿ÔöÌí10¡ã£¬£¬»¼PAC/PACGµÄ¼¸ÂʾÍÔöÌí5%£¨P<0.001£©¡£¡£



B7DFD6D27E72E76DB9AB81B46C8_8A265B89_43AD

ͼ2 ²î±ð½ç˵ϵÄITC500ÔÚPAC/PACGÖеÄÂþÑÜÇéÐÎ


±¾Ñо¿Åú×¢»ùÓÚǰ½ÚOCTµÄITCÆÊÎöÄܹ»×¼È·Åб𱣴æÆÊ½âÐÔ·¿½Ç¹Ø±ÕµÄÑÛ¾¦¡£¡£ITC¹æÄ£ÓëPAC/PACGµÄ»¼²¡¼¸ÂÊÓйأ¬£¬ITCµÄ360¡ãÆÀ¹À¿ÉΪԭ·¢ÐÔ±Õ½ÇÐÍÇà¹âÑ۵ķçÏÕÆÀ¹ÀÌṩÖ÷Òª²Î¿¼¡£¡£

ngµç×ÓÓÎÏ·ÖÐɽÑÛ¿ÆÖÐÐÄÕÅÐãÀ¼Îª¸ÃÑо¿µÄµÚÒ»×÷Õߣ¬£¬Àî·É²©Ê¿¼ÓÈëÁË´ËÏîÑо¿£¨µÚËÄ×÷Õߣ©¡£¡£ngµç×ÓÓÎÏ·ÖÐɽÑÛ¿ÆÖÐÐÄ¡¢¡¢¡¢ÑÛ¿ÆÑ§¹ú¼ÒÖØµãʵÑéÊÒ¼°¹ã¶«Ê¡ÑÛ²¿¼²²¡ÁÙ´²Ò½Ñ§Ñо¿ÖÐÐÄΪµÚÒ»µ¥Î»¡£¡£

ÂÛÎÄÁ´½Ó£º£º£ºhttps://www.sciencedirect.com/science/article/pii/S0161642022006571


¡¾ÍøÕ¾µØÍ¼¡¿