ngµç×ÓÓÎÏ·ÐÂÎÅÍøÑ¶£¨Í¨Ñ¶Ô±ÕÔÏÖÍ¢£©¿ËÈÕ£¬£¬ngµç×ÓÓÎÏ·Ö×Áö·ÀÖÎÖÐÐĸ¾¿ÆÁõ¼Ìºì½ÌÊÚÍŶӣ¬£¬ÁªºÏÄÏ·½Ò½¿Æ´óѧ¡¢¡¢¡¢»ªÖпƼ¼´óѧͬ¼ÃҽѧԺÁ¥Êôͬ¼ÃÒ½Ôº¡¢¡¢¡¢Õã½´óѧҽѧԺÁ¥Êô¸¾²ú¿ÆÒ½ÔºµÄÏàÖúÕßÍŶӣ¬£¬ÔÚ¡¶ÁøÒ¶µ¶¡¤Êý×Ö¿µ½¡¡·£¨The Lancet Digital Health£©½ÒÏþÁËÌâΪ¡¶Ê¹ÓÃʵÑéÊÒÄ¥Á·µÄÈ˹¤ÖÇÄÜÄ£×Ó׼ȷÕï¶ÏÂѳ²°©£º£ºÒ»ÏîÖйúµÄ¶àÖÐÐÄ¡¢¡¢¡¢»ØÊ×ÐÔÐÐÁÐÑо¿¡·µÄÑо¿Ð§¹û¡£¡£¡£
Õë¶ÔÂѳ²°©ÏÖÔÚÔçÆÚÕï¶ÏÄÑÌâ¡¢¡¢¡¢È±·¦ÓÐÓÃÖ×Áö±ê¼ÇÎïµÄÄæ¾³£¬£¬Ñо¿ÍŶӻùÓÚͨÀýÌå¼ìÖеÄʵÑéÊÒÄ¥Á·¹¹½¨ÁËÂѳ²°©Õï¶ÏÈ˹¤ÖÇÄÜÈÚºÏÄ£×Ó£¬£¬ÎªÂѳ²°©ÌṩÁËÒ»Öֵͱ¾Ç®¡¢¡¢¡¢Ò×»ñÈ¡£¬£¬ÇÒ¸ß׼ȷÂʵĸ¨ÖúÕï¶Ï¹¤¾ß£¬£¬ÓÐÍûÖúÁ¦Âѳ²°©µÄ¾«×¼·À¿Ø¼°ÔçÆÚÕï¶Ï¡£¡£¡£

Ä£×ÓʾÒâͼ
Âѳ²°©ÔçÕïÄÑÌ⣬£¬Ñо¿ÍŶÓÈá°Ð¡Ä¥Á·¡±Ê©Õ¹¡°×ÅÊöÓá±
Âѳ²°©ÊÇÖÂËÀÂÊ×î¸ßµÄ¸¾¿Æ¶ñÐÔÖ×Áö£¬£¬Æä5ÄêÉúÑÄÂʽöΪ40%¡£¡£¡£Âѳ²°©·¢²¡ÒþÄ䣬£¬ÎÞÌØÒìÐÔµÄÖ¢×´ÌåÕ÷£¬£¬Áè¼ÝÒ»°ëµÄ»¼Õß·¢Ã÷ÒÑÊÇÍíÆÚ£¬£¬ÕâÊÇÂѳ²°©Ô¤ºó²îµÄÖ÷ÒªÔÒò¡£¡£¡£
ÏÖÔÚ£¬£¬ÁÙ´²ÉÏÔËÓõÄÖ÷ÒªÂѳ²°©±ê¼ÇÎïΪÌÇÀ࿹Ô125£¨CA125£©ºÍÈ˸½ØºÂѰ×4(HE4)£¬£¬Ñо¿ÒÑ֤ʵÆäÃô¸ÐÐÔºÍÌØÒìÐÔÓÐÏÞ¡£¡£¡£×ܵÄÀ´Ëµ£¬£¬Ä¿½ñȱ·¦±ê¼ÇÎïʵÏÖÂѳ²°©µÄÔçÆÚÕï¶Ï£¬£¬Ø½Ð迪չеÄÂѳ²°©Õï¶Ï±ê¼ÇÎïÐÖúÂѳ²°©Õï¶Ï×ß³öÄæ¾³¡£¡£¡£
ͨÀýʵÑéÊÒÄ¥Á·£¨°üÀ¨ÑªÍ¨Àý¡¢¡¢¡¢Éú»¯¼ì²é¡¢¡¢¡¢ÄýѪ¼ì²é¡¢¡¢¡¢ÄòÒº¼ì²éµÈ£©ÊÇÁÙ´²ºÍÌå¼ìÖÐ×î³£Óõļì²éÏîÄ¿¡£¡£¡£¼ÈÍùÑо¿ÒÑ֤ʵ£¬£¬²¿·Ö³£¼ûÄ¥Á·ÏîÄ¿£¬£¬ÈçѪҺÖеİ×ÂѰ×Ũ¶È¡¢¡¢¡¢ÑªÐ¡°å¼ÆÊý¡¢¡¢¡¢ÖÐÐÔÁ£Ï¸°û¼ÆÊýµÈ£¬£¬ÓëÂѳ²°©µÄÕï¶ÏºÍÔ¤ºóÏÔÖøÏà¹Ø£¬£¬ÌáÐÑÕâЩͨÀýÄ¥Á·Ö¸±ê¾ßÓгÉΪÂѳ²°©±ê¼ÇÎïµÄDZÁ¦¡£¡£¡£
ÕâЩ±ê×¼»¯µÄʵÑéÊÒÄ¥Á·ÒªÁ죬£¬Ä¥Á·±¾Ç®µÍ£¬£¬ÒÑÆÕ±éÔËÓÃÓÚͨÀýÌå¼ìºÍ¸÷¼¶Ò½ÁÆ»ú¹¹ÖС£¡£¡£ÈôÄÜÒÔÕâЩĥÁ·Ö¸±ê×÷Ϊ±ê¼ÇÎ£¬¶ÔÌá¸ßÌå¼ì»ú¹¹ºÍϲãÒ½ÁÆ»ú¹¹µÄÂѳ²°©Õï¶Ïˮƽ£¬£¬¸ÄÉÆ¼²²¡¶þ¼¶Ô¤·ÀÏÖ×´£¬£¬½ø¶ø¸ÄÉÆÂѳ²°©»¼ÕßµÄÔ¤ºó¾ßÓÐÖ÷ÒªÒâÒå¡£¡£¡£
Á¢Òì¹¹½¨Âѳ²°©Ô¤²âÄ£×Ó£¬£¬¾«×¼Ëø¶¨·çÏÕÈËȺ
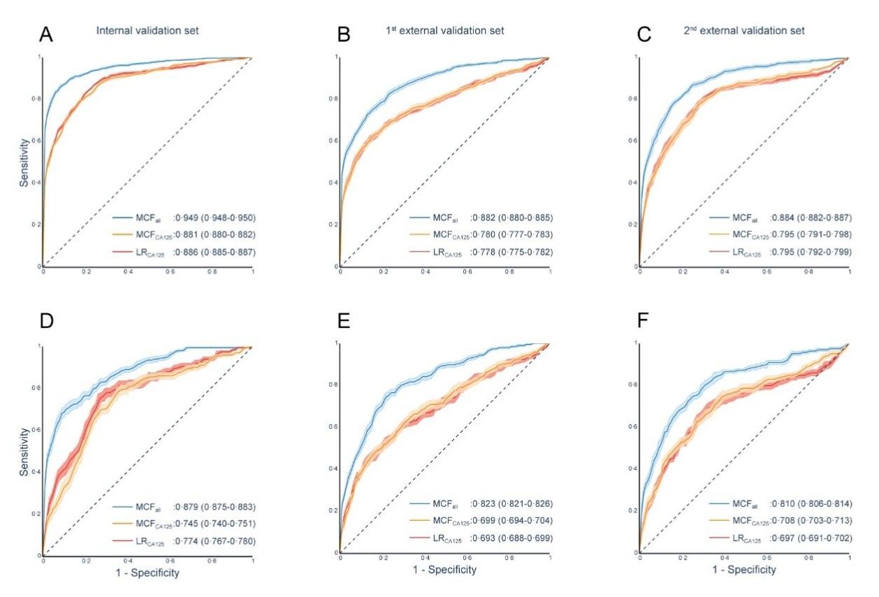
Ñо¿Õß¹²ÍøÂçÁËngµç×ÓÓÎÏ·Ö×Áö·ÀÖÎÖÐÐÄ¡¢¡¢¡¢»ªÖпƼ¼´óѧͬ¼ÃҽѧԺÁ¥Êôͬ¼ÃÒ½Ôº¡¢¡¢¡¢Õã½´óѧҽѧԺÁ¥Êô¸¾²ú¿ÆÒ½ÔºÁè¼Ý1ÍòÀýÅ®ÐÔµÄ98ÏîʵÑéÊÒ¼ì²éЧ¹û£¬£¬²¢»ùÓÚÍŶÓ×ÔÖ÷Ñз¢µÄÁ¢ÒìÈ˹¤ÖÇÄÜÈںϿò¼Ü¡ª¡ªMCDM¿ò¼Ü£¬£¬ÈÚºÏ20¸öÈ˹¤ÖÇÄÜ»ù·ÖÀàÄ£×Ó£¬£¬¹¹½¨ÁËÂѳ²°©Ô¤²âÄ£×Ó¡ª¡ªMCFÄ£×Ó¡£¡£¡£¸ÃÄ£×Ó×îÖÕÄÉÈë51ÏîʵÑéÊÒÄ¥Á·Ö¸±êºÍÄêË꣬£¬ÆäÔÚÄÚ²¿ÑéÖ¤¼¯ºÍÁ½¸ö×ÔÁ¦µÄÍⲿÑéÖ¤¼¯ÉϵÄAUC»®·Ö´ï0.949£¨95%CI 0.948-0.950£©¡¢¡¢¡¢0.882£¨0.880-0.885£©ºÍ0.884£¨0.882-0.887£©¡£¡£¡£
Ñо¿Ð§¹ûÏÔʾ£¬£¬MCFÄ£×Óʶ±ðÂѳ²°©»¼Õß¡¢¡¢¡¢ÌØÊâÊÇÔçÆÚÂѳ²°©»¼ÕßµÄAUCºÍѸËÙ¶ÈÏÔÖø¸ßÓڹŰåÂѳ²°©±ê¼ÇÎïCA125¡¢¡¢¡¢HE4¼°Á½ÕßÁªºÏ£¬£¬ÇÒÔÚ²¿·ÖÖ¸±êȱʧµÄÈËȺÖÐÒÀÈ»¿ÉÒÔ¶ÔÂѳ²°©µÄ·çÏÕ¾ÙÐнÏ׼ȷµÄÔ¤²â£¬£¬ÌáÐÑMCFÄ£×Ó¾ßÓнϺõÄÎȹÌÐÔ£¬£¬²¢¶ÔÕæÊµÌìÏÂÊý¾Ý¾ßÓнϺõļæÈÝÐÔ¡£¡£¡£

Ä£×Ó±ÈÕÕCA125¶ÔÂѳ²°©£¨Í¼A-C£©¡¢¡¢¡¢ÔçÆÚÂѳ²°©£¨D-F£©µÄÕï¶ÏЧÄÜ
¸ÃÑо¿ÎªÂѳ²°©ÌṩÁËÒ»Öֵͱ¾Ç®¡¢¡¢¡¢Ò×»ñÈ¡£¬£¬ÇÒ׼ȷµÄÈ˹¤ÖÇÄܸ¨ÖúÕï¶Ï¹¤¾ß¡ª¡ªMCFÄ£×Ó¡£¡£¡£ÓÉÓÚÄ£×ÓʹÓõÄËùÓÐÌØÕ÷¾ùΪͨÀýʵÑéÊÒÏîÄ¿£¬£¬¹ÊÔÚÌå¼ì»ú¹¹»ò¶Ô¸¾¿ÆÖ×ÁöÂÄÀúÓÐÏÞµÄϲãÒ½ÁÆ»ú¹¹ÖУ¬£¬¸ÃÄ£×Ó¿ÉΪÂѳ²°©µÄÕï¶ÏÌṩÃû¹óÇÒ¸ßЧµÄ¾öÒé×ÊÖú¡£¡£¡£
±¾Ñо¿¹¹½¨µÄMCFÄ£×ÓÒÑ·âװΪ¿ªÔ´µÄÂѳ²°©Ô¤²â¹¤¾ß£¬£¬ÊäÈëÏìӦʵÑéÊÒÄ¥Á·Êý¾ÝºÍÄêËê¼´¿ÉÅÌË㻼Âѳ²°©µÄ·çÏÕÖµ¡£¡£¡£±ðµÄ£¬£¬±¾Ñо¿»¹·¢Ã÷£¬£¬³ýÖ×Áö±ê¼ÇÎïÍ⣬£¬ÆäËûͨÀýʵÑéÊÒÄ¥Á·£¬£¬ÈçD-D¶þ¾ÛÌå¡¢¡¢¡¢ÑªÐ¡°å¼ÆÊýµÈ£¬£¬Ò²¶ÔÂѳ²°©Õï¶ÏÔ¤²âÓнϴóТ˳£¬£¬ÌáÐÑÕâЩĥÁ·Ö¸±êÏà¹Ø²¡ÀíÐÄÀíÀú³Ì¿ÉÄÜÔÚÂѳ²°©µÄ¿ªÕ¹Àú³ÌÖÐʩչÁËÖ÷Òª×÷Ó㬣¬ÆäDZÔÚ»úÖÆÖµµÃ½øÒ»²½Ì½ÌÖ¡£¡£¡£
ngµç×ÓÓÎÏ·Ö×Áö·ÀÖÎÖÐÐIJ̹âÑþ²©Ê¿¡¢¡¢¡¢ÄÏ·½Ò½¿Æ´óѧ²©Ê¿Ñо¿Éú»Æ·½¿¡¡¢¡¢¡¢»ªÖпƼ¼´óѧͬ¼ÃҽѧԺÁ¥Êôͬ¼ÃÒ½Ôº¸ßÔ½²©Ê¿¡¢¡¢¡¢Õã½´óѧҽѧԺÁ¥Êô¸¾²ú¿ÆÒ½ÔºÀîÏþ½ÌÊÚΪ±¾ÎÄÅäºÏµÚÒ»×÷Õߣ»£»ngµç×ÓÓÎÏ·Ö×Áö·ÀÖÎÖÐÐÄÁõ¼Ìºì½ÌÊÚ¡¢¡¢¡¢ÄÏ·½Ò½¿Æ´óѧÕçöνÌÊÚ¡¢¡¢¡¢»ªÖпƼ¼´óѧͬ¼ÃҽѧԺÁ¥Êôͬ¼ÃÒ½Ôº¸ßÇìÀÙ½ÌÊÚΪÅäºÏͨѶ×÷Õß¡£¡£¡£
ÂÛÎÄÁ´½Ó£º£ºhttps://www.thelancet.com/journals/landig/article/PIIS2589-7500(23)00245-5/fulltext