ngµç×ÓÓÎÏ·ÐÂÎÅÍøÑ¶£¨Í¨Ñ¶Ô±³ÌÃ÷Ãã£©Ëæ×Å´óÊý¾ÝÊÖÒÕÓëÓ¦ÓõÄÅ¿ªÕ¹,ʹÓøßά¡¢¡¢¸ßƵµÄÐÂÐͽṹ»¯Êý¾Ý¹¹½¨Òò×ÓÄ£×Ó²¢¾ÙÐо¼ÃÔ¤²âÒѳÉΪĿ½ñ¾¼ÃѧÑо¿µÄÈÈÃÅ¡£¡£¡£ÔÚ±ê×¼µÄÒò×ÓÄ£×Ó¿ò¼ÜÏÂ,Ñо¿Ö°Ô±Í¨³£¼ÙÉèÒò×ÓÔØºÉ£¨»ò³ÆÎª±´Ëþ¦Â£©Ôڽϳ¤µÄʱ¼ä¿ç¶ÈÖмá³ÖÎȹ̡£¡£¡£µ«½üÄêÀ´Ô½À´Ô½¶àµÄÑо¿Ö¤¾ÝÅú×¢,Òò×ÓÔØºÉÏÖʵÉÏÊÇʱ±äµÄ¡£¡£¡£
ngµç×ÓÓÎÏ·ÁëÄÏѧԺ³ÌÃ÷ÃãÖúÀí½ÌÊÚÓëÃÀ¹úÂÞ¸ñ˹´óѧ£¨Rutgers University£©ÁÎÔ½ÌÊÚ¡¢¡¢ÑîÏ£Ò°¸±½ÌÊÚÏàÖúµÄÂÛÎÄ¡°Uniform predictive inference for factor models with instrumental and idiosyncratic betas¡±ÓÚ2023Äê1ÔÂÔÚ¼ÆÁ¿¾¼ÃѧÁìÓò¶¥¼¶ÆÚ¿¯Journal of EconometricsÔÚÏß½ÒÏþ¡£¡£¡£
±¾ÎÄÌá³öÁËÒ»¸öÔÊÐíÒò×ÓÔØºÉËæÌØÕ÷±äÁ¿¶¯Ì¬×ª±äµÄÒþÐÔÒò×ÓÄ£×Ó,²¢Ê¹ÓÃͶӰÖ÷ÒòËØÆÊÎöÒªÁ죨Projected principal component analysis£¬P-PCA£©¶Ôʱ±äµÄÒþÐÔÒò×Ӻͱ´Ëþ¦Â¾ÙÐÐÔ¤¼Æ,´Ó¶øÌá¸ßÁ˺óÐøÒò×ÓÔöǿԤ²âµÄ׼ȷÐÔ¡£¡£¡£Í¬Ê±£¬±¾ÎÄÑо¿ÁË»ùÓÚ¸ÃÄ£×Ó¿ò¼ÜÏÂÒò×ÓÔ¤²âµÄÒ»ÖÂÐÔͳ¼ÆÍƶÏÀíÂÛ¡£¡£¡£ÏêϸÀ´Ëµ,±¾ÎĵÄÖ÷ÒªÄÚÈݰüÀ¨:
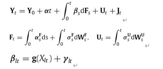
(1)ÔÚÁ¬ÐøÊ±¼ä¿ò¼ÜÏ£¬¹¹½¨Á˾ßÓÐʱ±äÒò×ÓÔØºÉµÄ¸ßάÒþÐÔÒò×ÓÄ£×Ó¡£¡£¡£½«Òò×ÓÔØºÉÆÊÎöΪÁ½¸ö×é³É²¿·Ö:Ò»¸öÊÇ»ùÓÚ¿ÉÊÓ²ìµÄÌØÕ÷±äÁ¿µÄ·ÇÏßÐÔº¯Êý,·´Ó³Æ½Îȵĺã¾Ã¶¯Ì¬;ÁíÒ»¸öÊDzвîÏî,²¶»ñ±´Ëþ¦ÂµÄ¸ßƵ²¨¶¯¡£¡£¡£

(2)Ìá³öʹÓÃͶӰÖ÷ÒòËØÆÊÎöÒªÁ죨Projected Principal Component Analysis£©¾ÙÐÐÄ£×ÓÔ¤¼Æ¡£¡£¡£´Ë·Ç²ÎÒªÁìÓÐÓõØÊ¹ÓÃÁËÌØÕ÷±äÁ¿ÐÅÏ¢£¬ÄÜÄâºÏδ֪ÇÒÖØ´óµÄ·ÇÏßÐÔº¯Êý£¬²¢ÒÖÖÆÁ˱´Ëþ¦ÂÖÐµÄ¸ßÆµÌØÒìÐÔ²¨¶¯¶ÔÒò×ÓÔ¤¼ÆµÄÓ°Ïì¡£¡£¡£
(3)ÍÆµ¼ÁËÌõ¼þ¾ùÖµÔ¤²âÎó²îµÄ¸÷Ö÷ÒªÒòËØ,ÆÊÎöÁËÌØÒìÐÔ±´ËþÎó²î£¨Idiosyncratic Beta Error£©ÕâÒ»ÐÂÔöÏîÔõÑùÓ°Ïì×ÜÌåµÄÒò×ÓÔ¤²âÎó²î£¬²¢¹¹½¨ÁËÒ»ÖÂÓÐÓõÄÔ¤²âÇø¼ä¡£¡£¡£

(4)ͨ¹ý´ó×ÚÃÉÌØ¿¨ÂåÄ£ÄâʵÑéÒÔ¼°»ùÓÚÕæÊµÊý¾ÝµÄʵ֤Ԥ²âÑо¿½ÏÁ¿Á˹ŰåPCAºÍ±¾ÎÄÓ¦ÓõÄP-PCAÒªÁì¡£¡£¡£Ð§¹ûÅú×¢ºóÕß¿ÉÒÔ»ñµÃ¸üÓÐÓᢡ¢×¼È·µÄÒò×ÓÔ¤¼ÆÁ¿£¬´Ó¶øÌá¸ßÁËÔ¤²âµÄ׼ȷÐÔ¡£¡£¡£
±¾ÎĵÄÁ¢ÒìÓëТ˳Ö÷ÒªÌåÏÖÔÚÒÔϼ¸¸ö·½Ãæ:µÚÒ»,ÔÚÒªÁìÉÏ,À©Õ¹Á˱ê×¼µÄÒò×ÓÄ£×ÓºÍÒò×ÓÔöǿԤ²âµÄÑо¿¿ò¼Ü,Ìá³öÁË»ùÓÚÌØÕ÷±äÁ¿Çý¶¯µÄʱ±äÒò×ÓÔØºÉϵͳ¡£¡£¡£µÚ¶þ,ÔÚÀíÂÛÉÏ,ÏêÏ¸ÍÆµ¼ÁËÔ¤²âÎó²îµÄ¸÷¸öÖ÷ÒªÒòËØ,Õ¹ÏÖÁËʱ±ä¸ºÔضÔÒò×ÓÔöǿԤ²âµÄÓ°Ïì¡£¡£¡£µÚÈý,ÔÚʵ֤ÉÏ,Ó¦ÓÃ¸ßÆµÊý¾Ý֤ʵÎúP-PCAÒªÁìÏà¹ØÓڹŰåµÄPCAÒªÁì¿ÉÒÔ»ñµÃ¸üÎȽ¡¡¢¡¢×¼È·µÄÔ¤¼ÆÓëÔ¤²âÖµ¡£¡£¡£µÚËÄ,¹¹½¨ÁËÔÚÖÖÖÖÊý¾ÝÌìÉúÀú³ÌϾùÊÊÓõÄÒ»ÖÂÐÔÔ¤²âÇø¼ä¡£¡£¡£
×ÜÖ®£¬±¾ÎÄΪÒò×ÓÄ£×ÓÏà¹ØÑо¿µÄÀíÂÛÁ¢ÒìÌṩÁËеÄÊÓ½ÇÓë¿ò¼Ü£¬²¢¶Ô¸ßά¡¢¡¢¸ßÆµÌØÕ÷µÄÐÂÐͽṹ»¯Êý¾ÝÓ¦ÓÃÌṩÁËеÄÒªÁì¡£¡£¡£
ÂÛÎÄÁ´½Ó£ºhttps://www.sciencedirect.com/science/article/pii/S0304407622002123