ngµç×ÓÓÎÏ·ÐÂÎÅÍøÑ¶£¨Í¨Ñ¶Ô±·¶Åó·É£©ÔÚÈ«ÇòÉúÎï¶àÑùÐÔ¼ÓËÙËðʧµÄÅä¾°Ï£¬£¬¸÷¹úµÄÑо¿ÕߺÍÖÎÀíÕßÃǽÓÄÉÁ˶àÑùµÄÊֶκͲ½·¥À´Ó¦¶ÔÉúÎï¶àÑùÐÔΣ»£»ú£¬£¬µ«²î±ð¹ú¼ÒºÍµØÇøÔÚ±£»£»¤ÄÜÁ¦¡¢¡¢¡¢Í¶ÈëºÍЧ¹û·½Ãæ±£´æ¼«´óµÄ²î±ð¡£¡£ÎªÊµÏÖ2030Äê¿É³ÖÐø¿ªÕ¹Ä¿µÄºÍ2050ÄêÉúÎï¶àÑùÐÔÔ¸¾°£¬£¬ÔÚCOP15ÉÏÐû²¼µÄ¡¶À¥Ã÷-ÃÉÌØÀû¶û¿ò¼Ü¡·³Ðŵ½ÓÄɶàÑùµÄÐж¯À´Äæ×ªÉúÎï¶àÑùÐÔϽµµÄÇ÷ÊÆ£¬£¬ÆäÖаüÀ¨Ìá¸ß¸÷¹úµÄ±£»£»¤ÄÜÁ¦£¬£¬ÓÈÆäÊÇ¿ªÕ¹Öйú¼ÒµÄ±£»£»¤ÄÜÁ¦¡£¡£±£»£»¤ÄÜÁ¦ÊÇÖ¸ÓÃÒÔʵÏÖÉúÎï¶àÑùÐÔ±£»£»¤Ä¿µÄµÄ¶àÖÖÊÖÒÕ¡¢¡¢¡¢ÖªÊ¶ºÍÐÅÏ¢µÄÜöÝÍÌ壬£¬¶ø±£»£»¤Ñо¿ÄÜÁ¦ÊÇÆäÖÐ×îÖ÷ÒªµÄ×é³É²¿·ÖÖ®Ò»¡£¡£¿£¿ÆÑ§Ñо¿¿ÉÒÔΪ±£»£»¤Ðж¯Ìṩ»ù´¡µÄÐÅÏ¢¡¢¡¢¡¢Ìá¸ß¹«ÖÚµÄÊìϤ¡¢¡¢¡¢Ë¢Ð±£»£»¤ÇøµÄÖÎÀí£¬£¬ÎüÒý±£»£»¤×ʽðµÈµÈ¡£¡£ÏÖÔÚ£¬£¬ÉÐδÓÐÑо¿ÔÚÈ«Çò±ê×¼ÉÏÆÀ¹À²î±ð¹ú¼ÒµÄ±£»£»¤Ñо¿ÄÜÁ¦£¬£¬¼°Æä¶ÔÉúÎï¶àÑùÐԵı£»£»¤Ð§¹û¡£¡£
Õë¶Ô¸ÃÎÊÌ⣬£¬ngµç×ÓÓÎÏ·ÉúÃü¿ÆÑ§Ñ§Ôº·¶Åó·É½ÌÊÚÍŶӾÙÐÐÁË´ó¹æÄ£µÄÎÄÏ×¼ìË÷¡£¡£ÔÚScopusÊý¾Ý¿âÖУ¬£¬¼ìË÷ÁËÈ«Çò193¸ö¹ú¼ÒÓÚ2001-2020Äê¼ä½ÒÏþÓÚ229¸ö±£»£»¤Ïà¹ØÔÓÖ¾ÉϵÄ177627ƪÎÄÕ£¬£¬¹¹½¨ÁË6¸ö±£»£»¤Ñо¿ÄÜÁ¦Ö¸Êý£¨Í¼1£©£¬£¬°üÀ¨ÎÄÕÂ×ÜÊý¡¢¡¢¡¢Ò»×÷ÎÄÕÂÊý¡¢¡¢¡¢±¾¹úÑо¿Êý£¨±¾¹ú¿ÆÑ§¼Ò¼ÓÈëµÄÔÚ±¾¹ú¿ªÕ¹µÄÑо¿Êý£©¡¢¡¢¡¢ÍâµØÑо¿Êý£¨ÔÚ±¾¹ú¿ªÕ¹µÄÑо¿Êý£©¡¢¡¢¡¢ÏàÖú¹ú¼ÒÊý£¬£¬ºÍÒªº¦´ÊÆ¥ÅäÂÊ¡£¡£ÔÚ´Ë»ù´¡ÉÏ£¬£¬ÆÀ¹ÀÁ˸÷¹ú±£»£»¤Ñо¿ÄÜÁ¦µÄÏÖ×´ºÍת±äÇ÷ÊÆ£¬£¬ÒÔ×ÔȻָÊý£¨Nature Index£©ºÍIUCNÎïÖÖ´æ»îίԱ»áר¼Ò×éµÄÖ÷ϯÊýÄ¿»®·Ö¶Ô±£»£»¤Ñо¿ÄÜÁ¦Ö¸Êý¾ÙÐÐÁËÑéÖ¤£¬£¬²¢Ê¹ÓÃGAMLSSÄ£×ÓÆÀ¹ÀÁ˸÷Ö¸Êý¹ØÓÚ¹ú¼ÒÉúÎï¶àÑùÐÔ±£»£»¤µÄÓ°Ïì¡£¡£

ͼ1 »ùÓÚ´ó¹æÄ£ÎÄÏ×¼ìË÷¹¹½¨µÄ¹ú¼Ò±£»£»¤Ñо¿ÄÜÁ¦Ö¸Êý£¬£¬°üÀ¨ÎÄÕÂ×ÜÊý¡¢¡¢¡¢Ò»×÷ÎÄÕÂÊý¡¢¡¢¡¢±¾¹úÑо¿Êý£¨±¾¹ú¿ÆÑ§¼Ò¼ÓÈëµÄÔÚ±¾¹ú¿ªÕ¹µÄÑо¿Êý£©¡¢¡¢¡¢ÍâµØÑо¿Êý£¨ÔÚ±¾¹ú¿ªÕ¹µÄÑо¿Êý£©¡¢¡¢¡¢ÏàÖú¹ú¼ÒÊý£¬£¬ºÍÒªº¦´ÊÆ¥ÅäÂÊ¡£¡£
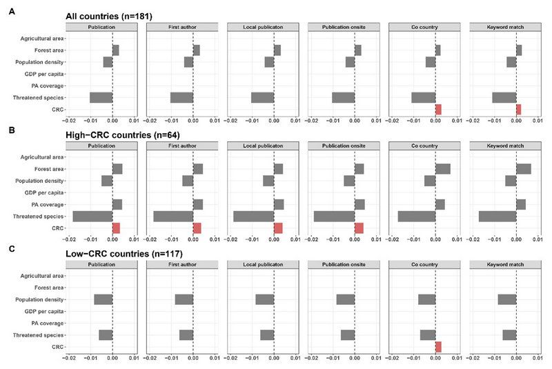
Ñо¿Ð§¹ûÅú×¢£¬£¬1£©¹ú¼Ò¼äµÄ±£»£»¤Ñо¿ÄÜÁ¦²î±ðÖØ´ó£¬£¬´ó×ÚÉúÎï¶àÑùÐÔÊ®·Ö¸»ºñµÄ¿ªÕ¹Öйú¼Ò±£»£»¤Ñо¿ÄÜÁ¦±¡Èõ£»£»2£©Ö»¹Ü´ó´ó¶¼¹ú¼ÒµÄÑо¿ÄÜÁ¦ÔÚÒÑÍù20Äê¼ä¾ùÓÐËùÔöÌí£¬£¬µ«Ñо¿ÄÜÁ¦Ô½¸ßµÄ¹ú¼ÒÔöÌíÔ½¿ì£¬£¬¹ú¼Ò¼äµÄ²î±ð»á½øÒ»²½À©´ó£¨Í¼2£©£»£»3£©Ñо¿ÄÜÁ¦Ö¸ÊýÓë×ÔȻָÊýºÍIUCNר¼Ò×éµÄÖ÷ϯÊý¾ù±£´æ½ÏºÃµÄÏßÐÔ¹ØÏµ£¬£¬ËµÃ÷Ö¸Êý¹ØÓÚ¹ú¼Ò¼äÑо¿ÄÜÁ¦µÄ²î±ðÓнϺõÄÌåÏÖ£»£»4£©¹ú¼ÒµÄÑо¿ÄÜÁ¦¶ÔÆäº£ÄÚµÄÉúÎï¶àÑùÐÔ±£»£»¤¾ßÓÐÆð¾¢Ó°Ï죬£¬µ«ÔÚ²î±ð¿ªÕ¹½×¶ÎµÄ¹ú¼Ò£¬£¬×÷ÓûúÖÆ±£´æÏÔ×Ųî±ð£º£º£º¹ØÓÚÄÜÁ¦½ÏÇ¿µÄ¹ú¼Ò£¬£¬´ó¶¼Ñо¿ÄÜÁ¦Ö¸Êý¾ßÓÐÆð¾¢Ó°Ï죻£»¹ØÓÚÄÜÁ¦½ÏÈõµÄ¹ú¼Ò£¬£¬½öÏàÖú¹ú¼ÒÊýÓÐÆð¾¢Ó°Ï죨ͼ3£©¡£¡£»£»ùÓÚÉÏÊöÑо¿Ð§¹û£¬£¬×÷Õß½¨Òé¸÷¹ú¾ùÐèÔöÇ¿±£»£»¤Ñо¿ÄÜÁ¦½¨É裬£¬Ñо¿ÄÜÁ¦½Ï¸ßµÄ¹ú¼ÒÐèÔöÌí±£»£»¤Ñо¿µÄÊýÄ¿£¬£¬¶øÑо¿ÄÜÁ¦½ÏµÍµÄ¹ú¼ÒÐèÔöÇ¿ÓëÆäËû¹ú¼ÒµÄÏàÖúÑо¿£¬£¬²¢ÇÒÒªÖ»¹Ü×èÖ¹¡°Ï½µÉ¡¡±Ê½ÏàÖú£¬£¬ÒÔÔö½øÑо¿ÄÜÁ¦½ÏµÍ¹ú¼Ò±£»£»¤Ñо¿ÄÜÁ¦µÄ¿ªÕ¹¡£¡£

ͼ2 È«Çò193¸ö¹ú¼Ò±£»£»¤Ñо¿ÄÜÁ¦µÄÏÖ×´£¨A£©ºÍת±äÇ÷ÊÆ£¨B£©£¬£¬ÒÔ¼°¸÷¹ú±£»£»¤Ñо¿ÄÜÁ¦ÅÅÃûµÄת±ä£¨C£©¡£¡£

ͼ3 Ó°Ïì¹ú¼ÒÉúÎï¶àÑùÐÔ±£»£»¤µÄ×ÔÈ»ºÍÉç»áÒòËØ£¨»ÒÉ«£©¼°±£»£»¤Ñо¿ÄÜÁ¦Ö¸Êý£¨ºìÉ«£©£º£º£ºA ËùÓйú¼Ò£»£»B ±£»£»¤Ñо¿ÄÜÁ¦½Ï¸ßµÄ¹ú¼Ò£»£»C ±£»£»¤Ñо¿ÄÜÁ¦½ÏµÍµÄ¹ú¼Ò¡£¡£
¸ÃÑо¿¿ËÈÕÒÔ¡°Growing disparity in global conservation research capacity and its impact on biodiversity conservation¡± ΪÌâÔÚCell×Ó¿¯One EarthÔÓÖ¾ÔÚÏß½ÒÏþ£¬£¬ngµç×ÓÓÎϷΪ¸ÃЧ¹ûµÚÒ»Íê³Éµ¥Î»¡£¡£¸ÃÑо¿»ñµÃ¹ú¼Ò×ÔÈ»»ù½ðÓÅÒìÇàÄê»ù½ðÏîÄ¿¡¢¡¢¡¢ÍâÑó¸ßÌõÀíÈ˲ÅÏîÄ¿ºÍ¹ã¶«Ê¡²ÆÎñÌüÏîÄ¿µÄ×ÊÖú¡£¡£
ÂÛÎÄÁ´½Ó£º£º£ºhttps://www.sciencedirect.com/science/article/pii/S2590332223000039